2591LeeRoad.com  ALL RIGHTS RESERVED 2020 and beyond.
HOME
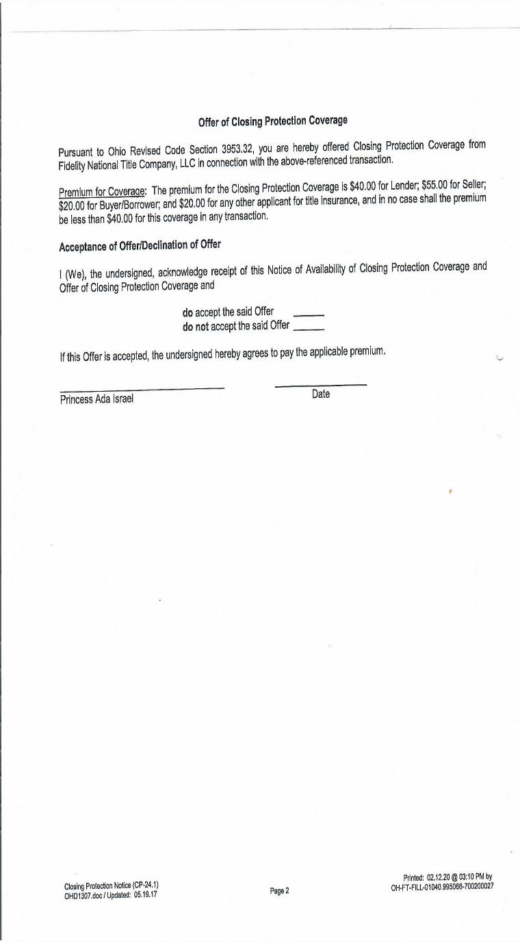
BUYER BEWARE of this mobile notary, Rimas J Melinauskas of Rays Mobile Signing Service  he is currently an

approved contractor for Fidelity National Title.

He allegedly told Princess Ada Israel to decline this coverage ,it was a piece of junk and her lawyer would
agree. He also stated he socializes with Jenna Johnson ,realtor,  "a lot".

He knew or should have known that the Point of Sale and  acknowledgement form was not included in the

closing documents.  The signing took place on February 13,2020,after business hours.

An audio clip was sent to the top brass at Fidelity National Title of this transaction on August 2,2020 and

confirmed August 7,2020 that he remains on the approved list of contractors.


BUYERS BEWARE!

If the Seller  purchased closing cost protection why would someone tell the Buyer to decline.
Ohio Notary search records show
Rimas has been a notary since June
2000 to present,